|
導語:據有關報道及從生產中反映的瓦楞紙箱性能的實際檢測結果來看,因粘合強度引起的紙箱不合格率比其它性能項目要高,由此導致了生產成本的提高并在使用中給用戶造成了損失。因此,正確認識粘合強度,正確檢測其數值并對相關影響因素在生產對其加以控制,對企業產品質量的提高具有重要意義。 1、粘合強度的定義 瓦楞紙板的粘合強度是指瓦楞紙板粘合后,面紙、里紙或芯紙與瓦楞楞峰形成的結合面所能承受的最大分離力。GB/T6544—2008附錄B中指明粘合強度是在規定的試驗條件下,分離瓦楞紙板單位楞長所需的力。同時又被稱作剝離強度,以每米(楞)牛頓(N/m)表示。它是反映瓦楞紙板粘合質量優劣的一個關鍵物理量,是考核瓦楞紙箱物理性能的重要技術指標之一。 良好的粘合質量,可以提高瓦楞紙箱的抗壓強度、邊壓強度、戳穿強度等物理指標。因此,粘合強度的正確測試成為瓦楞紙箱質量檢測的重要部分,有必要對此加以強調,從而保證對瓦楞紙箱質量合格與否做出正確判斷。 2、粘合強度的測試原理 瓦楞紙板粘合強度的測試原理是將針形附件插入試樣的楞紙和面(里)紙之間(或楞紙和中紙之間),然后對插有試樣的針形附件施壓,使其做相對運動,直至被分離部分分開。此時楞峰與面紙或楞峰與里紙、芯紙結合所承受的最大分離力經公式計算后即為粘合強度值。 施加的拉力是通過插入瓦楞的上下兩組插棒產生的,故本實驗又稱為插針膠合強度試驗。所用儀器為壓縮強度測定儀,儀器應符合GB/T6546規定的壓縮強度測定儀的技術要求。取樣的裝置應符合GB/T6546規定的切刀和要求。附件是由上部分附件和下部分附件組成,是對試樣各粘著部分施加均勻壓力的裝置。每部分附件由等距插入瓦楞紙板空間中心的針式件和支撐件組成,針式件和支撐件的平行度偏差應小于1%。附件組成如下圖所示。 
3、粘合強度的測試方法 按照國家標準GB/T 6544-2008中附錄B“瓦楞紙板粘合強度的測定”要求進行試驗。試樣的采取按GB/T 450進行,試樣的處理及測試和環境條件應按GB/T 10739要求進行,嚴格確定溫濕度。試樣的制備應從樣品中切取10個單瓦楞紙板、或20個雙瓦楞紙板或30個三瓦楞紙板(25±0.5)mm×(100±1)mm的試樣,瓦楞方向應與短邊方向一致。 試驗時,先將被測試樣裝入附件,將帶有兩排金屬棒的針形附件插入試樣的面紙與芯紙之間,并對好支撐柱,注意不要破壞試樣,如下圖所示。然后將其放在壓縮儀下壓板的中心位置。開動壓縮儀,以(12.5±2.5)mm/min的速度對裝有試樣的附件施壓,直到楞峰和面紙(或里/中紙)分離為止。記錄顯示的最大力,精確至1N。在下圖中的右圖所示的分離是楞紙與里紙的分離,共插入了7根針,有效分離了6根楞。 對于單瓦楞紙板,應分別測試面紙與楞紙、楞紙與里紙的分離力各5次,共測10次;雙瓦楞紙板則應分別測試面紙與楞紙1、楞紙1與中紙、中紙與楞紙2、楞紙2與里紙的分離力各5次,共測20次;三瓦楞紙板則需共測30次。 
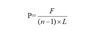
4、粘合強度的結果 分別計算各粘合層分離力的平均值,然后計算各粘合層的粘合強度,最后以各粘合層粘合強度的最小值作為瓦楞紙板的粘合強度,結果保留至三位有效數字。如下式所示: 
式中,P為粘合強度,單位為牛頓每米(N/m);F為試樣分離時所需的力,單位為牛頓(N);n為插入試樣的針根數;L為試樣短邊的長度,即0.025m。
|